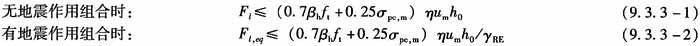
9.3 抗冲切计算 9.3.1 为增强板柱节点的抗冲切承载力,可采用下列方法: 1 冲切力较大时,将板柱节点附近板的厚度局部加厚,形成柱帽或托板(图9.4.9); 2 配置抗冲切栓钉(图9.4.10-1、图9.4.10-2); 3 在板柱节点附近板内配置抗冲切箍筋(图9.4.11-1)或抗冲切弯起钢筋(图9.4.11-2); 4 配置互相垂直并通过柱子截面的由型钢(工字钢、槽钢等)焊接而成的型钢剪力架(图9.3.6)。 9.3.2 板柱节点在垂直荷载、水平荷载作用下的受冲切承载力计算,应考虑板柱节点冲切破坏临界截面上的传递不平衡弯矩所产生的剪应力。其集中反力设计值,应以等效集中反力设计值代替。等效集中反力设计值可按《混凝土结构设计规范》GB 50010-2010附录F的规定计算。 抗震设计时,节点处地震作用下的不平衡弯矩引起的冲切反力应乘以增大系数,抗震等级为一、二、三级板柱的增大系数分别取1.7、1.5、1.3。 9.3.3 在竖向荷载、水平荷载作用下不配置抗冲切钢筋的板,其受冲切承载力应符合下列规定(图9.3.3-1): 式(9.3.3-1)、式(9.3.3-2)中的系数η,应按下列两个公式计算,并取其较小值: 1-冲切破坏椎体的斜截面;2-计算截面;3-计算截面周长;4-冲切破坏椎体的底面线 图9.3.3-1 板受冲切承载力计算 式中 Fl——局部荷载设计值或集中反力设计值;对板柱结构的节点,取柱所承受的轴向压力设计值的层间差值减去冲切破坏锥体范围内板所承受的荷载设计值。 Fl,eq——等效集中反力设计值,当有不平衡弯矩时,可按《混凝土结构设计规范》GB 50010-2010附录F的规定计算。 βh——截面高度影响系数;当h≤800mm时,取βh=1.0;当h≥2000mm时,取βh=0.9,其间按线性内插法取用; ft——混凝土轴心抗拉强度设计值; σpc,m——计算截面周长上两个方向混凝土有效预压应力按长度的加权平均值,其值宜控制在1.0N/mm2~3.5 N/mm2范围内; h0——截面有效高度,取两个配筋方向的截面有效高度的平均值; η1——局部荷载或集中反力作用面积形状的影响系数; η2——临界截面周长与板截面有效高度之比的影响系数; βs——局部荷载或集中反力作用面积为矩形时的长边与短边尺寸的比值,βs不宜大于4;当 βs<2时,取βs=2;当面积为圆形时,取βs=2; αs——板柱结构中柱类型的影响系数;对中柱,取αs=40,对边柱,取αs=30;对角柱,取αs=20。 γRE——承载力抗震调整系数,取0.85。 um——临界截面的周长,具体规定如下: 1)临界截面是指冲切最不利的破坏锥体底面与顶面线之间的平均周长处板的冲切截面。其中: ①对等厚板为垂直于板中心平面的截面; ②对变高度板为垂直于板受拉面的截面。 2)临界截面的周长是指: ①对矩形截面或其他凸角形截面柱,是距离局部荷载或集中反力作用面积周长h0/2处板垂直截面最不利周长; ②对凹角形截面柱(异形截面柱),宜选择周长um的形状呈凸角折线,其折角不能大于180°,由此可得到最小周长,此时在局部周长区段力柱边的距离允许大于h0/2。常见的复杂集中反力作用下的冲切临界截面,如图9.3.3-2所示。 图9.3.3-2 板的冲切临界截面示例 3)当板开有孔洞且孔洞至局部荷载或集中反力作用面积边缘的距离不大于6h0时,受冲切承载力计算中取用的临界截面周长um,应扣除局部荷载或集中反力作用面中心至开孔外边画出两条切线之间所包含的长度。邻近自由边时,应扣除自由边的长度,见图9.3.3-3。 图9.3.3-3 邻近孔洞或自由边时的临界截面周长 9.3.4 在竖向荷载、水平荷载作用下,当板柱节点板的受冲切承载力不满足式(9.3.3-1)或式(9.3.3-2)的要求且板厚受到限制时,可配置抗冲切栓钉(图9.4.11-1、9.4.11-2)或抗冲切箍筋(图9.4.12-1)。此时,应符合下列规定: 1 板的受冲切截面应符合下列条件: 2 配置抗冲切栓钉或箍筋的板抗冲切承载力可按下式计算: 式中 Asvu——与呈45°冲切破坏锥体斜截面相交的全部栓钉或箍筋的截面面积; fyv——栓钉或箍筋的抗拉强度设计值,按《混凝土结构设计规范》GB 50010-2010采用。 3 对配置抗冲切钢筋的冲切破坏锥体以外的截面,尚应按式(9.3.3-1)或式(9.3.3-2)的要求进行受冲切承载力验算。此时,临界截面周长um应取配置抗冲切钢筋的冲切破坏锥体以外0.5h0处的最不利周长。 9.3.5 在竖向荷载、水平荷载作用下,当板柱节点的受冲切承载力不满足式(9.3.3-1)的要求且板厚受到限制时,也可在板中配置抗冲切弯起钢筋。此时,应符合下列规定: 1 板的受冲切截面控制条件应符合式(9.3.4-1)的规定; 2 受冲切承载力可按下列公式计算: 式中 Asbu——与呈45°冲切破坏锥体斜截面相交的全部抗冲切弯起钢筋截面面积; fy——弯起钢筋抗拉强度设计值。 α——弯起钢筋与板底的夹角。 2)抗震设计时,不宜采用配置弯起钢筋抗冲切。 3 对配置抗冲切弯起钢筋的冲切破坏锥体以外的截面,尚应按式(9.3.3-1)要求进行受冲切承载力验算。 9.3.6 在竖向荷载、水平荷载作用下,当板柱节点的受冲切承载力不满足式(9.3.3-1)或式(9.3.3-2)的要求且板厚受到限制时,还可在板中配置抗冲切型钢剪力架。此时,应符合下列规定: 1 型钢剪力架的型钢高度不应大于其腹板厚度的70倍;剪力架每个伸臂末端可削成与水平呈30°~60°的斜角;型钢的全部受压翼缘应位于距混凝土板的受压边缘0.3h0范围内; 2 型钢剪力架每个伸臂的刚度与混凝土组合板换算截面刚度的比值aa应符合下列要求: 式中 Ia——型钢截面惯性矩; Io,cr——混凝土组合板裂缝截面的换算截面惯性矩; Ea、Ec——分别为剪力架和混凝土的弹性模量。 计算惯性矩Io,cr时,按型钢和钢筋的换算面积以及混凝土受压区的面积计算确定,此时组合板截面宽度取垂直于所计算弯矩方向的柱宽bc与板有效高度h0之和。 3 工字钢焊接剪力架伸臂长度可由下列近似公式确定(图9.3.6(a)): 上式中的系数η,应取式(9.3.3-3)、式(9.3.3-4)两者中的较小值。 式中 um,de——设计截面周长,按图9.3.6所示计算确定; Fl,eq——距柱周边h0/2处的等效集中反力设计值; bc——柱计算弯矩方向的边长。 槽钢焊接剪力架的伸臂长度可按(图9.3.6(b))所示的设计截面周长,用与工字钢焊接剪力架相似方法确定。 4 剪力架每个伸臂根部的弯矩设计值及受弯承载力应满足下列要求: 式中 ha——剪力架每个伸臂型钢的全高; hc——计算弯矩方向的柱子尺寸; n——型钢剪力架相同伸臂的数目; W——型钢剪力架截面受拉边缘的弹性抵抗矩; fa——钢材的抗拉强度设计值,按现行国家标准《钢结构设计规范》GB 50017-2003有关规定取用。 图9.3.6 剪力架及其计算冲切面 5 配置型钢剪力架板的冲切承载力应满足下列要求: 6 配置型钢剪力架时,对板及柱内钢筋的配置影响较大,不如栓钉及箍筋有利。