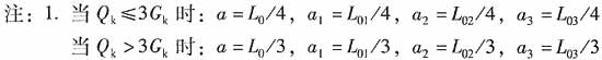
3.2 现浇单向板和双向板 3.2.1 除直接受动荷载作用的楼板、无防水层的屋面板以及要求不出现裂缝的构件外,内力计算时均可考虑塑性内力重分布,按塑性分析法设计。 说明:塑性分析法是按塑性铰线理论计算,使用时沿塑性铰线并无开裂现象。 塑性分析法与弹性分析法相比,能节约钢材。 但是塑性分析法也有适用范围,例如处于侵蚀环境等情况下,就不宜采用。这种情况可采用弹性分析法,并可以对支座弯矩进行适当调幅。 3.2.2 现浇板的搁置长度:在砖砌体上时不小于120mm,且不小于板的厚度;在混凝土构件上时不小于80mm;在钢构件上时不小于50mm。 3.2.3 现浇单向板支座钢筋伸入跨中长度及锚入梁内的长度见图3.2.3。简支板或连续板下部纵向受力筋伸入支座锚固长度:大于等于5倍钢筋直径且伸过墙或梁中心线。当连续板内温度、收缩应力较大时,伸入支座的长度宜适当增加。边支座的上部钢筋可按简支构造处理,伸至尽端,做一个向下直勾弯至板底即可(不需要采用锚固长度la)。 图3.2.3 单向板配筋 式中 Qk——可变荷载的标准值; Gk——永久荷载的标准值。 2.板下部受力钢筋,可根据钢筋实际长度采用甲或乙的配筋形式。 3.当跨度相差>20%时,上部受力钢筋仰过支座边缘的长度a值应按弯矩图形确定。 3.2.4 现浇双向板受力筋的配置,跨中受力钢筋小跨度方向在下,大跨度方向在上。见图3.2.4。 图3.2.4 双向板配筋 3.2.5 现浇单向板或双向板,当跨中设置后浇带时,相邻两边支座的负钢筋应考虑后浇带浇灌混凝土前的悬臂作用而予以适当加强。也可在施工时增加临时支撑。 3.2.6 现浇板内埋设机电暗管时,管外径不应大于板厚的1/3。管子交叉处不受此限制。 说明:在管子交叉处,两根管子的外径相加值可以大于1/3板厚,但此时管子外皮的混凝土保护层厚度应≥25mm。 3.2.7 四周与梁整体连接的板(无梁楼板除外),按弹性计算所得的弯矩数值,可根据下列情况予以减少: 1 中间跨的跨中截面及中间支座截面可减少20%; 2 边跨的跨中截面及从楼板边缘算起的第二支座截面: 当Lb/L<1.5时可减少20%; 当1.5≤Lb/L≤2时可减少10%; 式中 L——垂直于楼板边缘方向的计算跨度; Lb——沿楼板边缘方向的计算跨度(图3.2.7); 3 角区格不应减少。 图3.2.7 整体肋形楼板计算跨度示意图 3.2.8 挑檐转角处挑板应按下列情况配置附加加强钢筋: 在挑檐转角处配置放射形加强支座钢筋,其配筋量应按计算需要配置,钢筋的锚固长度应大于悬挑长度且不小于la,见图3.2.8。 图3.2.8 挑檐转角处的加强配筋 (若角部有柱时,锚固长度可自柱边算起)