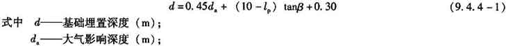
9.4 膨胀土地基 9.4.1 基本规定 1 膨胀土应根据土的自由膨胀率δef、场地的工程地质特征和建筑物开裂破坏形态进行综合判定。 必要时,尚应进行土的矿物成份(主要是蒙脱石含量)和阳离子交换量等试验进行验证。当土的自由膨胀率δef≥40%,且具有下列工程地质特征和房屋开裂破坏形态时应判定为膨胀土场地。 1)土的裂隙发育,常有光滑面和擦痕,有的裂隙中充填有灰白、灰绿色粘土条纹。在自然条件下常呈坚硬或硬塑状态; 2)多出露于二级或二级以上阶地、山前和盆地边缘丘陵地带,地形平缓,无明显陡坎; 3)常有浅层塑性滑坡、地裂,新开挖基槽(坑)易发生崩解和坍塌等地质现象; 4)低层砌体结构建筑物多呈“倒八字”、“X”型或水平裂缝,裂缝宽度随气候变化而张开和闭合。 2 膨胀土的膨胀潜势按表9.4.1—1分为三类。 9.4.2 勘察 1 膨胀土地区的岩土工程勘察除遵守本措施第3章的基本要求外,尚应根据膨胀土的工程特性、地基基础设计等级和设计要求,按不同设计阶段进行下列补充工作。 1)在选址阶段以工程地质调查为主时应包括下列内容: ①布置少量的探坑和必要的钻探,了解地层分布,采取适量的扰动土样测定土的自由膨胀率δef,判定有无膨胀土及其膨胀潜势。对拟选场址的稳定性和适宜性作出工程评价; ②杳明膨胀土的地质时代、成因类型和土层厚度; ③划分地貌单元,了解地形形态; ④查明场地内有无滑坡、地裂、冲沟和岩溶等不良地质作用; ⑤调查地表水排泄和聚集状况;初步查明地下水的类型、水位和多年变化情况; ⑥收集当地的多年气象资料,包括降水量、蒸发力、气温和地温以及雨、旱季的持续时间,特别是特大丰水和干旱年等资料,并了解其变化特点,确定大气影响深度; ⑦调查当地房屋的开裂破坏状况并分析其原因,了解当地的建设经验。 2)初步勘察阶段应确定膨胀土的胀缩性,对场地稳定性和工程地质条件作出评价。为确定建筑总平面布置、地基基础方案和不良地质作用的防治方案提供依据。 ①查明场区内不良地质作用的成因、分布范围和危害程度,确定地下水位和季节性变化幅度及其对地基土胀缩变形的影响; ②采取原状土样进行室内基本物理性质试验、收缩试验和膨胀力以及50kPa压力下的膨胀率试验。 3)详细勘察阶段应查明各建筑物地基土层及其物理力学性质和特性指标,确定地基的胀缩等级,为地基设计和处理以及边坡防护等不良地质作用的治理提供详细的地质和水文资料。 2 野外勘察及室内外的试验工作,除符合国家和地方现行岩土工程勘察规范规定的要求外,尚应符合以下要求: 1)取土勘探点应根据建筑类别、地貌单元及地基土的胀缩等级的分布选取。其数量在初步勘察阶段应不少于勘探点总数的1/2;在详细勘察阶段每栋建筑物下不应少于3个勘探点,地基基础设计等级 为甲级的建筑物不应少于勘探点总数的2/3; 2)原状土样从地表下1m处开始采取,在深度1m至大气影响深度内每隔1m取土一件,当土层显著变化时应增加取土数量; 3 对于地基基础设计等级为甲级或有特殊要求的建筑场地,必要时应进行现场浸水载荷试验、基桩的胀拔力试验和地基水平膨胀力试验;当对膨胀土的判定有争议时应进行土的矿物分析和化学分析试验,进一步确定土的膨胀性能和承载力。 4 进行矿物分析和化学分析时应着重蒙脱石含量和阳离子交换量的确定,根据对我国多处膨胀土的分析,上述两种含量与土的自由膨胀率间有着较好的相关性,见表9.4.2。 5 地形、地质条件复杂或有成群建筑物开裂破坏的场地,应进行施工勘察或维护勘察。 注:1 表中蒙脱石含量为干土全重含量的百分数,采用次甲基兰吸附法测定; 2 对不含碳酸盐的土样,采用醋酸铵法测定其阳离子交换量;对含碳酸盐的土样,采用氯化铵-醋酸铵法测定其阳离子交换量。 9.4. 3 地基基础设计与计算 1 膨胀土场地上的建筑物,根据其重要性、规模、功能要求和工程地质特征以及由于土中水份变化可能造成建筑物破坏或影响正常使用的程度,将地基基础分为甲、乙、丙三个设计等级。设计时,应根据具体情况按表9. 4.3—1选用。 2 根据建筑物地基基础的设计等级及长期荷载作用下地基的胀缩变形和压缩变形对上部结构的作用效应,地基基础设计应符合下列要求: 1)所有建筑物的地基计算均应满足承载力要求; 2)地基基础设计等级为甲级、乙级的建筑物,均应按地基变形进行设计; 3)地基基础设计等级为丙级的建筑物,当采取防治措施时,可不作地基变形验算; 4)建造在坡地或斜坡附近的建筑物以及经常受水平荷载作用的高层建筑、高耸构筑物和挡土结构、基坑支护等工程,尚应进行稳定性验算。验算时应考虑水平膨胀力的作用。 3 膨胀土场地上建筑物的设计应遵守预防为主、综合治理的原则。设计时,应根据场地的工程地质特征和水文气象条件以及地基基础的设计等级,结合地方经验,注重总平面和竖向布置,采取消除或减小地基胀缩变形量以及适应地基不均匀变形能力的建筑和结构措施;并应在设计文件中明确施工和维护管理要求。 4 平坦场地上的建筑物地基设计,应根据建筑结构对地基不均匀变形的适应能力,采取相应的措施。木结构、钢和钢筋混凝土排架结构、地基分级变形量小于15mm以及建造在常年地下水位较高的低洼场地上的建筑物,可按一般地基设计。 5 设有地下室的建筑物,应考虑水平膨胀力对其外墙的作用,当基础埋深小于大气影响深度时,应同时计算其压缩和收缩变形量。反之,可只计算压缩变形量。 6 对烟囱、窑、炉等高温构筑物应主要考虑干缩变形的危害程度,采取适当的隔热措施。对冷库等低温建筑物应采取措施,防止水份向基底土中转移集聚引起的膨胀危害。 7 地基计算 膨胀土地基计算包括承载力、稳定性和变形计算,其中变形包含胀缩变形和压缩变形。 1)膨胀土地基承载力特征值应考虑地基土吸水膨胀后强度衰减的可能性。三层及三层以下的轻型建筑物,可由地基主要受力层的膨胀力确定。对于高重建筑物,当其基底压力大于土的膨胀力时,地基承载力的取值应以地方经验为主,当无此项资料时,宜按现行国家标准《膨胀土地区建筑技术规范》GBJ 112中的要求以现场浸水载荷试验并结合其他室内外试验资料综合确定。 2)对于建筑在平坦场地上基础埋深浅于大气影响深度的轻型建筑物,当地基承载力满足要求时,可根据土的初始含水量高低以及使用期间土中水份的变化趋势,按现行国家标准《膨胀土地区建筑技术规范》GBJ 112中的有关规定分别计算其胀缩变形。 ①当地表下1m深处土的天然含水量等于或接近最小值或地面有覆盖且无蒸发可能以及在建筑物使用期间经常受水浸湿的地基,按下式计算其膨胀变形量Se: 4)位于坡地上或承受较大水平和偏心荷载的建筑物,必须进行地基的稳定性验算。鉴于膨胀土特殊的工程性质,验算时应充分考虑地基土含水量增大时其抗剪强度显著降低的特性并应遵守下列规定: ①当土的性质较均匀且无明显的软弱结构面时,按圆弧滑动法进行验算; ②当土层较薄且与下覆岩层间有软弱层时,取软弱层为滑动面进行验算; ③膨胀土呈层状分布且层面与坡面斜交角小于45°时,应验算其层面的稳定性; ④稳定性验算的安全系数应不小于1.2。 9.4.4 防治措施 1 总平面设计。膨胀土上低层砌体结构的建筑物之所以在较小的变形幅度(一般大于15mm)时就导致开裂破坏与地基土随其含水量的变化产生往复升降变形有关。而不同的地形地貌单元具有各自的自然环境,对土中水分含量的变化有着显著的影响。因此,对成群的建筑做好如下的平面和竖向设计是预防建筑物产生过大升降变形的重要手段: 1)建筑物的布置应避开浅层滑坡、地裂和岩溶发育以及地下水位变化剧烈的地段; 2)竖向设计宜保持自然地形,尽量避免大挖大填,对于坡度小于14°的坡地优先随房屋布置低矮挡墙。对于挖方和填方地基上的房屋应考虑挖填部分土中水分变化所造成的危害。同一建筑物地基土的分级变形量之差不宜大于35mm; 3)处理好场地地表水的排泄,防止场区内排水管道(沟)的渗漏和堵塞对建筑物膨缩变形的影响。排水管道(沟)应离开建筑物外墙不小于3m布置; 4)场区内的绿化,应根据当地气候条件,膨胀土的胀缩等级,结合当地经验采取如下相应措施: ①在建筑物空地宜多种植草皮和绿篱; ②在距建筑物4m以内可种植低矮易剪修的灌木以及蒸腾量较小的果树、花树或松、柏等针叶树; ③在湿度系数小于0.75或土的孔隙比大于0.9的膨胀土地区,种植桉树、本麻黄、滇杨等蒸腾量大的树种应设置石灰沟等隔离,沟与建筑物外墙的距离不应小于5m,沟深一般为1.5~2.0m,沟宽200mm左右,沟内充填石灰。 2 挡土墙 采用挡土墙(或分级挡土墙)是防止坡地产生塑性滑动而导致房屋产生过大变形的有效措施。挡土墙(图9.4.4一1)宜按以下要求设计: 1)挡土墙的高度不宜大于3m; 2)挡土墙的基础埋深不宜小于1.5m且位于土层滑裂面以下不小于1.0m,基础底部的基坑应用混凝土封闭,墙顶面宜做成平台并设置混凝土防水层; 3)长度过大的挡土墙应每隔6~10m设一道变形缝。每隔2~3m设直径不小于100mm的泄水孔,泄水孔的外斜坡度宜为5%; 4)墙背应设置厚度不小于300mm的碎石或砂卵石滤水层,其后的分层压实填土宜选用非膨胀性及透水性较强的土料; 5)对于符合上款要求的挡土墙,其主动土压力可采用楔形体试算法确定。计算时可不考虑土的水平膨胀力,滑裂面上的抗剪强度应由饱和快剪试验确定。当土体中有明显通过墙趾的裂隙面或层理面时,尚应验算其整体稳定性,挡土墙设计计算时的各项安全系数可参照现行国家和地方规范的有关规定执行。 3 坡地上建筑物的地基设计,符合下列条件时,可按平坦场地上的地基进行设计: 1)按本条第2款要求设置了挡土墙,且建筑物基础外缘距挡土墙的距离大于5m; 2)布置在挖方地段的建筑物,其外墙距后坡脚支挡结构的距离大于3m;距前坡肩的距离不小于5m。 4 基础埋深。基础埋深应根据场地类型,土的胀缩等级、大气影响深度等因素综合确定。 1)基础埋深不应小于1m; 2)平坦场地上的低层砌体结构房屋,当以深埋基础为主要防治措施时,基础埋深应不小于大气影响急剧层深度,或通过变形计算确定;对于坡地,可按本款3)项的要求确定。设置地下室的建筑物,其地下室外墙的设计应考虑水平膨胀力的影响。 3)当坡地坡角小于14°,基础外边缘至坡肩的水平距离大于或等于5m时,基础埋深(图9.4.4—2)可按下式确定: ①散水面层采用强度等级不小于C15的混凝土或沥青混凝土,其厚度不小于100mm; ②隔热的保温层宜采用1:3石灰焦渣,厚度为100~200mm; ③垫层可采用2:8灰土并夯实,厚度应不小于200mm; ④散水应每隔3m留一道伸缩缝并与水落管的位置错开,在伸缩缝以及外墙交接处应用柔性防水材料充填密实; ⑤散水应在房屋的室内地坪做好后立即施工。 6 建筑与结构措施: 1)沉降缝 在下列情况应设置沉降缝: ①挖填方交接处或地基土显著不均匀处; ②建筑物转折部位或高度(或荷重)差异处; ③建筑结构(或基础)类型不同部位。 2)屋面排水应采用外排水。排水量较大时,应采用明沟或管道排水,并与场区内的排水系统相连接。 3)室内地面 膨胀土上建筑的室内地面当不采取有效措施时常发生鼓胀开裂。因此,室内地面下地基宜采用非膨胀土或经过改良的膨胀土进行换填,换填厚度应通过变形计算确定,但不应小于300mm。同时,应根据不同的使用要求分别采用以下措施: ①对使用要求不严格的工业与民用建筑的地面,当面积较大时可做成长宽均不大于3m的分格体,其间用变形缝分开,对于面积较小的地面也可采用预制块砌筑。无论是分格体还是预制块间的变形缝均需用柔性防水材料充填密实; ②对于使用要求严格的地面,可根据地基土的胀缩性按表9.4.4和图9.4.4—4的构造要求进行设计; ③对于胀缩等级Ⅲ级的膨胀土地基和使用要求特别严格的地面可采用配筋混凝土或架空结构等措施。 4)低层砌体结构房屋的结构措施旨在减小地基土的胀缩变形幅度或增强因地基土往复胀缩升降导致房屋开裂破坏的抵御能力。 ①平坦场地土质较均匀的I或Ⅱ级膨胀土的基础宜优先采用墩基。确定基底面积时,在确保地基承载力满足要求的前提下,以基底压力接近土的膨胀力为宜。建筑物的墙体应砌筑于下面脱空不小于100mm的地基梁上,并做好防水处理。 ②砖砌体应采用拉接性较好的实心砖墙,不得采用空斗墙、小型砌块墙或无砂混凝土砌体。砌体所用砖和砂浆的强度等级应考虑地基土往复胀缩变形而产生较大的剪力和拉力对墙体的影响,并遵照现行国家标准《砌体结构设计规范》GB 50003的有关规定确定; ③房屋的顶层和基础顶部应设置圈梁(地基梁、承台梁可代替基础圈梁),多层房屋可隔层设置,必要时可层层设置。圈梁应布置在外墙、内纵墙以及对整体刚度起重要作用内横墙上,并在同一平面内形成闭合; ④圈梁的高度不应小于240mm,宽度宜与墙体宽度一致。纵向钢筋一般为4Φ12,箍筋为Φ6,间距不大于200mm,混凝土的强度等级不低于C25。当采用钢筋砖圈梁时,其高度不应小于400mm,水平纵向钢筋不少于4Φ8,砂浆的强度等级宜为M5。 ⑤砌体结构房屋的门窗或其他孔洞,其宽度在Ⅱ、Ⅲ级膨胀土上大于600mm时,应采用钢筋混凝土过梁,不得采用砖拱。在底层窗台处应配置厚度不小于60mm的钢筋混凝土带,并与构造柱连接; ⑥钢筋混凝土梁、板(包括预制梁、板)支承于砖墙(或柱)上的长度分别不应小于240mm和120mm。 ⑦钢和钢筋混凝土排架结构的山墙和内隔墙应设置基础。围护墙应砌置于基础梁上。梁下预留不小于100mm的空隙,并做好防水处理。有吊车梁时,吊车梁与吊车轨道应采用便于调整的连接方式。 ⑧砌体结构应设置构造柱,构造柱截面不小于240mm×240mm,纵向钢筋不宜小于4Φ14,箍筋不宜小于Φ6@200,混凝土的强度等级不低于C20。 ⑨在抗震设防区所采取的结构措施应同时符合《建筑抗震设计规范》GB 50011—2010中有关的构造要求。 7 地基处理措施 地基处理措施可根据地基土的胀缩等级、地方材料和施工工艺的可行性等进行技术经济比较,采用换土、砂石垫层和土性改良等方法。 1)换土可采用非膨胀土或2:8灰土。换土厚度可通过胀缩变形计算确定,但应不小于300mm,其宽度应满足基础底面应力扩散的要求,且应超出基础底边不小于300mm; 2)砂石垫层较适用于Ⅰ、Ⅱ级膨胀土的处理,垫层的厚度应不小于300mm,材料宜选用中粗砂或最大粒径不大于30mm级配良好的砂石混合料,并分层压实和做好防水处理。 3)土性改良较适用于填土地基。可用原地土料掺入重量比不少8%的石灰搅拌均匀。土料的最大粒径不应大于15mm,有机质含量不应大于5%。施工工艺和参数参照灰土垫层的做法和要求。 4)桩基础 地基基础设计等级为甲级的建筑物,宜采用桩基础。设计时,基桩和承台的构造和设计计算除应符合现行国家标准《建筑地基基础设计规范》GB 50007的相关规定外,尚应符合下列规定: ①桩顶标高低于大气影响急剧层的高、重建筑物,可按一般桩基础进行设计; ②桩顶标高位于大气影响急剧层内的三层及三层以下的轻型建筑物,桩基础设计应符合下列要求: a.按承载力计算时应考虑土中水份变化对其承载力的影响。单桩极限承载力可根据地方经验确定。无此项资料时,应通过现场载荷试验确定; b.按变形计算时,桩基础升降变形应满足本章表9.4.3—2地基容许变形值的要求。桩端进入大气影响急剧层以下或非膨胀土层中的长度应满足下列规定: (a)按膨胀变形计算时,应符合下式要求: ③当桩身承受胀拔力时,应进行桩身抗拉强度和裂缝宽度控制验算,并采取通长配筋,最小配筋率应符合受拉构件的要求; ④桩承台梁下应留有空隙,其值应大于土层浸水后的最大膨胀量,且不小于100mm。承台梁两侧应采取措施,防止空隙堵塞。 9.4.5 施工和维护管理 1 膨胀土上房屋的施工应注意防止土中水份的大幅变化并保持地基的稳定。因此,基础施工前应完成土方的挖填、挡土墙、护坡和防洪沟、排水沟等工程。使场地排水通畅、地基稳定。 2 开挖基槽(坑)时,如发现地裂、局部上层滞水或土性有较大变化应采取有效措施后方可继续施工。 3 基槽(坑)开挖后应防止泡水和曝晒,并应迅速铺设混凝土垫层。工期较长时,基坑(槽)的侧壁宜用1:3水泥砂浆喷涂或采用分段施工。 4 灌注桩成孔过程中严禁向孔内注水,孔底虚土经处理后立即下钢筋笼和浇注混凝土。 5 基础施工出地面后应迅速采用非膨胀土分层压实,回填土的压实系数不应小于0.94。 6 室外散水应在室内地坪做好后立即施工。 7 在设计文件中应标明维护管理的内容,房屋建成后应交于业主严格执行。维护管理应包括地面水和上、下水管道的检查和即时维修,以及绿化采用的植被和树种及修剪要求。 8 建筑地基基础设计等级为甲级的建筑物,应在施工开始时进行房屋的升降观测,并在峻工后交于业主继续观测,以便发现影响房屋安全和正常使用时,迅速采取措施维修和加固。