(一)标准氢电极
电极电位的绝对值是无法测定的,但可以选定一个电极作为标准,将各种待测电极与它相比较,就可得到各种电极的电极电位相对值。国际纯粹和应用化学协会(IUPAC)选定“标准氢电极”作为比较标准。
标准氢电极是氢离子浓度为1mol·L-1氢气的压力为101.325kPa的电极。国际上规定,298K 时,标准氢电极的电极电位为零。用符号
H+/H2=0表示。其电极书写为:
H+(1mol.L-1),H2(101.325kPa)│Pt
标准氢电极的装置如图6-3所示。容器中装有H+浓度为1mol·L-1的硫酸溶液,插入一铂片。为了增大吸附氢气的能力,铂片表面上镀一层疏松的铂(铂黑0。在298k 时,不断从套管的支管中通入压力为101.325 kPa的纯氢气,H2被铂黑吸附直到饱和.这时整个铂黑片仿佛是由氢气组成,铂黑吸咐的H2和溶液中的H+构成了氢电极,其电极反应为;


图6-3 标准氢气电极
(二)标准电极电位的测定
参与电极反应的各有关物质均为标准状态(离子浓度为1mol·L-1,气体物质的分压为101.325 kPa)时,其电极电位称为该 电极的标准电极电位,用符号
Eφ=
右-
左=
侍测-
H+/H2
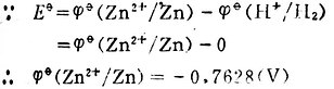
例2测定Zn 2+│Zn电极的标准电位,
Zn2+/Zn。
解:将标准Zn2+│Zn电极与标准氢电极组成原电池。
Pt│H2(101.325kPa),H+(1mol.L-1)‖Zn2+(1mol.L-1)│Zn
298K时,测得Eφ=-0.7628(V)。

因为Zn 2+│Zn电极的电位为负值,低于标准氢电极的电位。所以Zn 2+│Zn是极为负极,标准氢电极为正极。其电极反应和电池反应为:
电极反应 负极Zn→Zn 2++2e-
正极2H++2e-→H2
电池反应 Zn+2H+→Zn 2++H2

例3 测定Cu2+│Cu电极的标准电极电位,
Cu2+/Cu。
解:将标准Cu2+│Cu电极与标准氢电极组成原电池。
Pt│H2(101.325kPa),H+(1mol.L-1)‖Cu2+(1mol.L-1)│Cu
298K时,测得Eφ=+0.3402(V)。
因为Cu2+│Cu电极的电位为正值,高于标准氢电极的电位。所以Cu2+│Cu电极,标准氢电极为负极。其电极反应和电池反应为,
电极反应 负极H2→2H++2e-
正极Cu2++2e-→Cu
电池反应 H2+Cu2+→2H++Cu
(三)标准电极电位表
用上述方法不仅可以测定金属的标准电极电位,也可测定非金属离子和气体的标准电极电位。对于某些与水剧烈反应而不能直接测定的电极,可以通过热力学数据用间接的方法计算出标准电极电位。表6-1列出了298k 时,一些物质在水溶液中的标准电极电位。
为了正确使用标准电极电位表,将有关问题概述如下:
1.在电极反应式氧化型 
还原型中,ne表示电极反应的电子数。氧
化型和还原型包括电极反应所需的H+,OH-,H2O等物质,如

氧化型与还原型是相互依存的。同一种物质在某一电对中是氧化型,在另一电对中也可以是还原型。例如,

中是氧化型,在

( 
中是还原型。所以在讨论与Fe2+有关的氧化还原反应时,若Fe2+是作为还原剂而被氧化为Fe3+,则必须用与还原型的Fe2+相对应的电对的 
值(0.77V)。反之,若Fe2+是作为氧化剂而被还原为Fe,则必须用与氧化型的Fe2+相对应的电对的
值(-0.88V)。
2.表6-1采用的电位是还原电位。不论电极进行氧化或还原反应,电极电位符号不改变。例如,不管电极反应是Zn→Zn2++2e-还是Zn2++2e-→Zn,Zn2+ │Zn电极标准电极电位值均取-0.7628V。

愈高,表示该电对的氧化型愈容易接受电子,氧化其它物质的能力愈强,它本身易被还原,是一个强氧化剂,而它的还原能力愈弱;
愈低,表示该电对的还原型愈容易放出电子,还原其它物质的能力愈强,它本身易被氧化,是一个强还原剂,而它的氧化型的氧化能力愈弱。
电极反应式左方的氧化型可作氧化剂,右方的还原型可作还原剂。氧化型在表的愈下方就是愈强的氧化剂;还原型在表的愈上方就是愈强的还原剂。因此,在不同的氧化剂或在不同的还原剂之间进行强弱比较时,根据标准电极电位的数值可以明确地判断它们的强弱。例如,在表上所列的各物质中,F2是最强的氧化剂,k 是最强的还原剂。
4.标准电极电位
值与电极反应中物质的计量系数无关。例如,Ag+│Ag电极的电极反应写成,若写成。?
(Ag+/Ag)仍是+0.7996V,而不是2*0.7996V.
5.电极电位和标准电极电位,都是电极处于平衡状态时表现时出来的特征,它和达到平衡的快慢无关。
根据上面所述,在标准状态下,由任何两个电极(半电极)组成电池时,电极电位较高的一方,由于有较强的氧化剂,起还原作用为正极;电极电位较低的一方,由于有较强的还原剂,起氧化作用为负极。